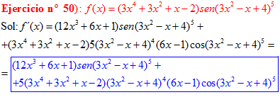
Derivadas según dificultad nivel 5

¡Haz clic para puntuar!
(Votos: 0 Promedio: 0)

Visite nuestra página integrales.es

DERIVADAS SEGÚN DIFICULTAD

NIVEL 5

Versión 11-3-2014

 

TIPOS DE FORMULAS BÁSICAS DE DERIVACIÓN

FORMAS SIMPLES

FORMAS COMPUESTAS

1

 

2

3

4

5

6

7

8

9

10

11

12

13

14

15

16

17

18

 

 

REGLAS BÁSICAS DE DERIVACIÓN

1ª) LA DERIVADA DE UNA CONSTANTE POR UNA FUNCIÓN es igual a la constante por la derivada de la función:

2ªa) LA DERIVADA DE UNA SUMA DE FUNCIONES es igual a la suma de las derivadas de las funciones:

2ªb) LA DERIVADA DE UNA DIFERENCIA DE FUNCIONES es igual a la diferencia de las derivadas de las funciones:

3ª) LA DERIVADA DE UN PRODUCTO DE FUNCIONES es igual a la derivada de la primera función por la segunda función sin derivar más la primera función sin derivar por la derivada de la segunda función:

4ª) LA DERIVADA DE UN COCIENTE DE FUNCIONES es igual a la derivada de la función del numerador por la función del denominador sin derivar, menos la función del numerador sin derivar por la derivada de la función del denominador, dividido todo ello por la función del denominador al cuadrado:

5ª) LA DERIVADA DE UNA FUNCIÓN ELEVADA A OTRA es igual a la derivada de la expresión como exponencial más la derivada de la expresión como potencial:

 

 

DERIVADA DE UNA FUNCIÓN LOGARÍTMICA

 

FÓRMULA 3 compuesta


LA DERIVADA DEL LOGARITMO NEPERIANO DE UNA FUNCIÓN DE x es igual a la derivada de la función de x dividida entre dicha función

 

FIN FÓRMULA 3

 

 

DERIVADA DE UNA FUNCIÓN EXPONENCIAL CON BASE DISTINTA DEL NÚMERO e

 

FÓRMULA 5 compuesta


LA DERIVADA DE UN NÚMERO «a» DISTINTO DE « ELEVADO A UNA FUNCIÓN DE x es igual a ese número elevado a la función de x multiplicado por la derivada de dicha función y por el logaritmo neperiano del numero «a»

 

FIN FÓRMULA 5

 

 

DERIVADA DE UNA FUNCIÓN EXPONENCIAL CON BASE EL NÚMERO e

 

FÓRMULA 6 compuesta


LA DERIVADA DEL NÚMERO « ELEVADO A UNA FUNCIÓN DE x es igual al número « elevado a dicha función de x multiplicado por la derivada de dicha función

 

FIN FÓRMULA 6

 

 

DERIVADA DE LA FUNCIÓN TRIGONOMÉTRICA SENO

 

FÓRMULA 7 compuesta


LA DERIVADA DEL SENO DE UNA FUNCIÓN DE x es igual al coseno de la función de x multiplicado por la derivada de dicha función

 

FIN FÓRMULA 7

 

 

DERIVADA DE LA FUNCIÓN TRIGONOMÉTRICA COSENO

 

FÓRMULA 8 compuesta


LA DERIVADA DEL COSENO DE UNA FUNCIÓN DE x es igual a menos seno de la función de x multiplicado por la derivada de dicha función

 

FIN FÓRMULA 8

 

 

DERIVADA DE LA FUNCIÓN TRIGONOMÉTRICA TANGENTE

 

FÓRMULA 9 compuesta


LA DERIVADA DE LA TANGENTE DE UNA FUNCIÓN DE x es igual a la derivada de la función dividida por el coseno cuadrado de la función de x o también a la derivada de la función por la secante al cuadrado de la función

 

 

FIN FÓRMULA 9

 

 

DERIVADA DE LA FUNCIÓN TRIGONOMÉTRICA COTANGENTE

 

FÓRMULA 10 compuesta


LA DERIVADA DE LA COTANGENTE DE UNA FUNCIÓN DE x es igual a menos la derivada de la función dividida por el seno cuadrado de la función de x o también a menos la derivada de la función por la cosecante al cuadrado de la función

 

 

FIN FÓRMULA 10

 

 

DERIVADA DE LA FUNCIÓN TRIGONOMÉTRICA SECANTE

 

FÓRMULA 11 compuesta


LA DERIVADA DEL SECANTE DE UNA FUNCIÓN DE x es igual a la derivada de la función multiplicada por el producto de la secante y la tangente de la función de x

 

FIN FÓRMULA 11

 

 

DERIVADA DE LA FUNCIÓN TRIGONOMÉTRICA COSECANTE

 

FÓRMULA 12 compuesta


LA DERIVADA DEL COSECANTE DE UNA FUNCIÓN DE x es igual a menos la derivada de la función multiplicada por el producto de la cosecante y la cotangente de la función de x

 

FIN FÓRMULA 12

 

 

DERIVADA DE LA FUNCIÓN TRIGONOMÉTRICA ARCO SENO

 

FÓRMULA 13 compuesta


LA DERIVADA DEL ARCO SENO DE UNA FUNCIÓN DE x es igual a la derivada de la función de x dividida entre la raíz cuadrada de la unidad menos la función al cuadrado

 

 

 

FIN FÓRMULA 13

 

 

DERIVADA DE LA FUNCIÓN TRIGONOMÉTRICA ARCO COSENO

 

FÓRMULA 14 compuesta


LA DERIVADA DEL ARCO COSENO DE UNA FUNCIÓN DE x es igual a menos la derivada de la función de x dividida entre la raíz cuadrada de la unidad menos la función al cuadrado

 

 

FIN FÓRMULA 14

 

 

DERIVADA DE LA FUNCIÓN TRIGONOMÉTRICA ARCO TANGENTE

 

FÓRMULA 15 compuesta


LA DERIVADA DEL ARCO TANGENTE DE UNA FUNCIÓN DE x es igual a la derivada de la función de x dividida entre la unidad más la función al cuadrado

 

 

FIN FÓRMULA 15

 

 

DERIVADA DE LA FUNCIÓN TRIGONOMÉTRICA ARCO COTANGENTE

 

FÓRMULA 16 compuesta


LA DERIVADA DEL ARCO COTANGENTE DE UNA FUNCIÓN DE x es igual a menos la derivada de la función de x dividida entre la unidad más la función al cuadrado

 

FIN FÓRMULA 16

 

 

DERIVADA DE LA FUNCIÓN TRIGONOMÉTRICA ARCO SECANTE

 

FÓRMULA 17 compuesta


LA DERIVADA DEL ARCO SECANTE DE UNA FUNCIÓN DE x es igual a la derivada de la función dividida entre x por la raíz cuadrada de la función de al cuadrado menos la unidad

 

 

FIN FÓRMULA 17

 

 

DERIVADA DE LA FUNCIÓN TRIGONOMÉTRICA ARCO COSECANTE

 

FÓRMULA 18 compuesta


LA DERIVADA DEL ARCO COSECANTE DE UNA FUNCIÓN DE x es igual a menos la derivada de la función dividida entre la función por la raíz cuadrada de la función de al cuadrado menos la unidad

 

 

 

FIN FÓRMULA 18

 

 

DERIVADA DE LA FUNCIÓN

SENO HIPÉRBOLICO

 

FÓRMULA 19 compuesta


LA DERIVADA DEL SENO HIPERBÓLICO DE una función de x es igual a la derivada de dicha función por el coseno hiperbólico de la función

 

 

 

FIN FÓRMULA 19

 

 

DERIVADA DE LA FUNCIÓN

COSENO HIPÉRBOLICO

 

FÓRMULA 20 compuesta


LA DERIVADA DEL COSENO HIPERBÓLICO DE una función de x es igual a la derivada de dicha función por el seno hiperbólico de la función

 

 

FIN FÓRMULA 20

 

 

DERIVADA DE LA FUNCIÓN

TANGENTE HIPÉRBOLICA

 

FÓRMULA 21 compuesta


LA DERIVADA DE LA TANGENTE HIPERBÓLICA DE una función de x es igual a la derivada de dicha función por la secante hiperbólica al cuadrado de la función

 

FIN FÓRMULA 21

 

 

DERIVADA DE LA FUNCIÓN

COTANGENTE HIPÉRBOLICA

 

FÓRMULA 22 compuesta


LA DERIVADA DE LA COTANGENTE HIPERBÓLICA DE una función de x es igual a menos la derivada de dicha función por la cosecante hiperbólica al cuadrado de la función

 

FIN FÓRMULA 22

 

 

DERIVADA DE LA FUNCIÓN

SECANTE HIPÉRBOLICA

 

FÓRMULA 23 compuesta


LA DERIVADA DE LA SECANTE HIPERBÓLICA DE una función de x es igual a menos la derivada de dicha función por la secante hiperbólica de la función y por la tangente hiperbólica de la misma

 

 

FIN FÓRMULA 23

 

 

DERIVADA DE LA FUNCIÓN

COSECANTE HIPÉRBOLICA

 

FÓRMULA 24 compuesta


LA DERIVADA DE LA COSECANTE HIPERBÓLICA DE una función de x es igual a menos la derivada de dicha función por la cosecante hiperbólica de la función y por la cotangente hiperbólica de la misma

 

 

FIN FÓRMULA 24

 

 

DERIVADA DE LA FUNCIÓN

ARGUMENTO SENO HIPÉRBOLICO

 

FÓRMULA 25 compuesta


LA DERIVADA DEL ARGUMENTO SENO HIPERBÓLICO DE una función de x es igual a la derivada de la función por el logaritmo neperiano de la función de x más la raíz cuadrada de la unidad más la función al cuadrado

 

 

FIN FÓRMULA 25

 

 

DERIVADA DE LA FUNCIÓN

ARGUMENTO COSENO HIPÉRBOLICO

 

FÓRMULA 26 compuesta


LA DERIVADA DEL ARGUMENTO COSENO HIPERBÓLICO DE una función de x es igual a la derivada de la función por el logaritmo neperiano de la función de x más la raíz cuadrada de la función al cuadrado menos la unidad

 

 

FIN FÓRMULA 26

 

 

DERIVADA DE LA FUNCIÓN

ARGUMENTO TANGENTE HIPÉRBOLICA

 

FÓRMULA 27 compuesta


LA DERIVADA DEL ARGUMENTO TANGENTE HIPERBÓLICA DE una función de x es igual a la derivada de la función por un medio del logaritmo neperiano de uno más la función dividido entre uno menos la función de x

 

 

FIN FÓRMULA 27

 

 

DERIVADA DE LA FUNCIÓN

ARGUMENTO COTANGENTE

HIPÉRBOLICA

 

FÓRMULA 28 compuesta


LA DERIVADA DEL ARGUMENTO COTANGENTE HIPERBÓLICA DE una función de x es igual a la derivada de la función por un medio del logaritmo neperiano de la función más uno dividido entre la función menos uno

 

 

FIN FÓRMULA 28

 

 

DERIVADA DE LA FUNCIÓN

ARGUMENTO SECANTE HIPÉRBOLICA

 

FÓRMULA 29 compuesta


LA DERIVADA DEL ARGUMENTO SECANTE HIPERBÓLICA DE una función de x es igual a la derivada de la función por el logaritmo neperiano del cociente de uno más la raíz cuadrada de uno menos la función al cuadrado dividido entre la función

 

 

FIN FÓRMULA 29

 

 

DERIVADA DE LA FUNCIÓN

ARGUMENTO COSECANTE

HIPÉRBOLICA

 

FÓRMULA 30 compuesta


LA DERIVADA DEL ARGUMENTO COSECANTE HIPERBÓLICA DE una función de x es igual a la derivada de la función por el logaritmo neperiano de la expresión uno partido por la función más la raíz cuadrada de uno más la función al cuadrado partido por valor absoluto de la función

 

 

FIN FÓRMULA 30