¡Haz clic para puntuar!
(Votos: 1 Promedio: 5)
Si estáis buscando la forma más sencilla de obtener una representación gráfica de las distintas funciones matemáticas; este es el lugar indicado para conseguirla.
Con ésta herramienta matemática online, podréis representar gráficamente, de manera muy sencilla cualquier función.
Simplemente debéis ingresar los datos necesarios, y el programa lo hace todo; y el resultado: el gráfico solicitado.
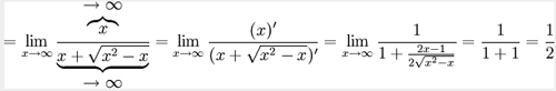
Por ejemplo, para realizar cálculos de límites online

Para realizar cálculo de una derivada online

Mientras que, si lo que estáis buscando es crear un gráfico 3D online
Broken links…!
dejen mas informcion
x+3/x^2 representar gráficamente esta función detallando los pasos que se dan
kathe paradaaaaaaa!!! xD
f»(x) =3x · ( x^2 – 2x -2)
__________________
(x-2)[3
no se como eser una prueba de representacion grafica porfa ayudenma
no son suficientes los graficos expuetos pora la info.
quiero que me alluden aresolver unas operaciones de derivadas